基于 NumPy 的手写数字识别 (卷积神经网络) (三)

"基于 numpy 的手写数字识别", 这一经典问题除了用作深度学习入门内容, 还被广泛作为各大课程的课程作业, 因此在各大搜索引擎上搜索率也是相当之高(代码复用率也是相当之高). 网上确实有挺多现成的可使用代码, 但是大部分都是造的全连接网络, 并且很多时候内部原理不是特别清晰. 因此决定自己也来造一次轮子, 使用 numpy 实现一个简单的卷积神经网络进行手写数字识别, 正好也能借此机会梳理一下神经网络的基本原理.

全文包含完整的卷积网络实现, 以及矩阵梯度和卷积矩阵化的推导过程, 由于全文过长, 因此分成了三部分, 内容上是完全连着的.

本文为第三篇, 也是最后一篇, 结合前两篇的内容搭建完整的卷积神经网络并完成训练和评估.

本系列文章传送门:

卷积神经网络

模型结构

因为只是一个简单的示例, 所以弄一个小一点的网络, 大概长这样.

cnn.jpg

然后就是按照这个结构用代码把前面实现的层串起来.

1
2
3
4
5
6
7
8
9
10
11
12
13
14
15
16
17
18
19
20
21
22
23
24
25
26
27
28
29
30
31
32
33
34
35
36
37
38
39
40
41
42
43
44
45
46
47
48
49
50
51
52
class ConvolutionNeuralNetwork:
"""
Conv -> Pool -> ReLU -> Conv -> Pool -> ReLU -> Flatten -> Linear -> CrossEntropy
"""

def __init__(self) -> None:
self.layers = [
ConvolutionLayer(1, 4, 5, 5), # 24 * 24
MaxPoolingLayer(2, 2), # 12 * 12
ReLULayer(),
ConvolutionLayer(4, 16, 3, 3), # 10 * 10
MaxPoolingLayer(2, 2), # 5 * 5
ReLULayer(),
FlattenLayer(),
LinearLayer(16 * 5 * 5, 10)
]
self.loss_func = CrossEntropyLoss()
self.layer_inputs = []

def forward(self, x: np.ndarray, keepgrad: bool = False) -> np.ndarray:
"""
Args:
x: (B, C_ch, H, W), images
keepgrad: whether keep temp layer inputs

Returns:
x: (B, C_cls), logits
"""

for layer in self.layers:
if keepgrad:
self.layer_inputs.append(x)
x = layer.forward(x)
return x

def backward(self, last_x_grad: np.ndarray) -> np.ndarray:
"""
Args:
last_x_grad: (B, C_cls), computed by loss function

Returns:
last_x_grad: (B, C_ch, H, W)
"""

for x, layer in zip(self.layer_inputs[::-1], self.layers[::-1]):
last_x_grad = layer.backward(x, last_x_grad)
return last_x_grad

def update(self, lr: float) -> None:
for layer in self.layers:
if isinstance(layer, ParamLayer):
layer.update(lr)

这里网络同样需要实现 forwardbackward 方法, 但是增加了 layer_inputs 成员, 用于保存网络的计算图中间节点, 在反向传播时能直接读取数据计算.

至于网络每层的参数填多大, 得视数据量和网络深度决定玄学问题, 这里就填了几个比较小的值, 方便下一步训练.

训练

然后实现网络的训练代码.

训练分几个固定步骤:

  1. 前向传播
  2. 计算损失
  3. 反向传播
  4. 更新参数
  5. 清空本次计算的中间值和梯度
1
2
3
4
5
6
7
8
9
10
11
12
13
14
15
16
17
18
19
20
21
22
23
24
25
26
27
28
29
30
31
32
33
34
35
36
class ConvolutionNeuralNetwork:
"""
Conv -> Pool -> ReLU -> Conv -> Pool -> ReLU -> Flatten -> Linear -> CrossEntropy
"""

def __init__(self) -> None: ...
def forward(self, x: np.ndarray, keepgrad: bool = False) -> np.ndarray: ...
def backward(self, last_x_grad: np.ndarray) -> np.ndarray: ...
def update(self, lr: float) -> None: ...

def train(self, train_x: np.ndarray, train_y: np.ndarray, batch_size: int, epochs: int, lr: float) -> float:
"""

Returns:
loss: mean loss for train_x
"""
losses = []
for i in range(0, train_x.shape[0], batch_size):
inputs, targets = train_x[i:i+batch_size], train_y[i:i+batch_size]

# forward
logits = self.forward(inputs, True)
loss = self.loss_func.forward(logits, targets)
losses.append(loss)

# backward
last_x_grad = self.loss_func.backward(logits, targets)
self.backward(last_x_grad)

# update
self.update(lr)

# clear temp values
self.layer_inputs.clear()

return sum(losses) / len(losses)

测试和预测

测试和训练步骤是类似的, 但是不需要计算损失和梯度, 同时也不需要保留中间计算结果.

而预测则是在 forward 的基础上, 将输出结果使用 Softmax 函数转换成概率值, 公式如下:

$$
\begin{aligned}
Softmax(x_{ij}) &= \frac{\exp\left( {x_{ij}} \right)}{\sum_{j=1}^{C}{\exp\left(x_{ij}\right)}} \\
~ &= \frac{\exp\left( {x_{ij} - \max_{j=1}^{C}{x_{ij}}} \right)}{\sum_{j=1}^{C}{\exp\left(x_{ij} - \max_{j=1}^{C}{x_{ij}}\right)}} \\
~ &= \frac{\exp\left( {x_{ij}'} \right)}{\sum_{j=1}^{C}{\exp\left(x_{ij}'\right)}}
\end{aligned}
$$

其实就是在计算交叉熵损失中间 $\log$ 括号内的内容, 并且同样可以减去最大值来防止数据溢出.

1
2
3
4
5
6
7
8
9
10
11
12
13
14
15
16
17
18
19
20
21
22
23
24
25
26
27
28
29
30
31
32
33
34
35
36
37
38
39
40
41
class ConvolutionNeuralNetwork:
"""
Conv -> Pool -> ReLU -> Conv -> Pool -> ReLU -> Flatten -> Linear -> CrossEntropy
"""

def __init__(self) -> None: ...
def forward(self, x: np.ndarray, keepgrad: bool = False) -> np.ndarray: ...
def backward(self, last_x_grad: np.ndarray) -> np.ndarray: ...
def update(self, lr: float) -> None: ...
def train(self, train_x: np.ndarray, train_y: np.ndarray, batch_size: int, epochs: int, lr: float) -> float: ...

def test(self, test_x: np.ndarray, test_y: np.ndarray, batch_size: int) -> float:
"""
Returns:
loss: mean loss for test_x
"""

losses = []
for i in range(0, test_x.shape[0], batch_size):
inputs, targets = test_x[i:i+batch_size], test_y[i:i+batch_size]

# forward
logits = self.forward(inputs)
loss = self.loss_func.forward(logits, targets)
losses.append(loss)

return sum(losses) / len(losses)

def predict(self, x: np.ndarray) -> np.ndarray:
"""
Args:
x: (B, C_ch, H, W), images

Returns:
x: (B, C_cls), probs by softmax
"""

x = self.forward(x)
exp_x = np.exp(x - x.max(-1, keepdims=True))
outputs = exp_x / exp_x.sum(-1, keepdims=True)
return outputs

训练并评估网络

完成网络搭建后, 接下来就是进行训练和评估. 先贴上完整的代码.

1
2
3
4
5
6
7
8
9
10
11
12
13
14
15
16
17
18
19
20
21
22
23
24
25
26
27
28
29
30
31
32
33
34
35
36
37
38
39
40
41
42
43
44
45
46
47
48
49
if __name__ == "__main__":
np.random.seed(1234)

train_x, train_y = load_dataset("./cv-data/train", True)
test_x, test_y = load_dataset("./cv-data/test")

print(train_x.shape, train_y.shape)
print(test_x.shape, test_y.shape)

batch_size = 100
epochs = 200
lr = 0.1
cnn = ConvolutionNeuralNetwork()

train_losses = []
test_losses = []
print("=============== Begin Train ===============")
start_time = time.time()
for i in range(epochs):
train_loss = cnn.train(train_x, train_y, batch_size, epochs, lr)
test_loss = cnn.test(test_x, test_y, batch_size)
print(f"Epoch: {i + 1:3d} Train Loss: {train_loss:.4f} Test Loss: {test_loss:.4f}")

train_losses.append(train_loss)
test_losses.append(test_loss)

time_elapsed = time.time() - start_time
print(f"=============== End Train: {time_elapsed / 60:.2f} min ===============")

train_losses = np.array(train_losses)
test_losses = np.array(test_losses)

# 绘制损失变化曲线, 忽略第一轮损失
plt.plot(np.arange(train_losses.shape[0]-1), train_losses[1:], label="train")
plt.plot(np.arange(test_losses.shape[0]-1), test_losses[1:], label="test")
plt.legend()
plt.savefig("loss.png")

y_true = train_y
y_pred = cnn.predict(train_x).argmax(-1)
report = classification_report(y_true, y_pred, digits=4)
print("=============== Classification Report: Train ===============")
print(report)

y_true = test_y
y_pred = cnn.predict(test_x).argmax(-1)
report = classification_report(y_true, y_pred, digits=4)
print("=============== Classification Report: Test ===============")
print(report)

这里为了稳定结果, 固定了一下随机种子为 1234.

有三个训练的超参数:

  • batch_size: 每一轮 mini-batch 的大小.
  • epochs: 共训练多少轮.
  • lr: 网络学习率.

具体填多少得反复尝试也是炼丹的精髓, 这里学习率是尝试后收敛比较快而且比较稳定的一个值.

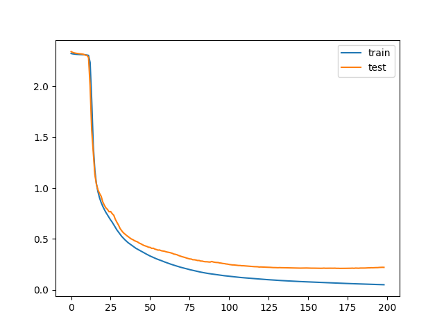
中途把每一轮的损失记录一下, 并且用 matplotlib.pyplot 画个简单的曲线图, 对比一下训练集和测试集损失随轮数的变化关系.

最后借用一下 classification_report 来看看网络在训练集和测试集上的分类性能报告.

200 轮的训练大概跑了 20 分钟左右, 挺久的.

损失曲线图:

loss.jpg

分类性能报告:

1
2
3
4
5
6
7
8
9
10
11
12
13
14
15
16
17
18
19
20
21
22
23
24
25
26
27
28
29
30
31
32
33
34
35
=============== Classification Report: Train ===============
precision recall f1-score support

0 0.9970 0.9900 0.9935 999
1 0.9955 0.9928 0.9941 1106
2 0.9871 0.9765 0.9818 1020
3 0.9814 0.9786 0.9800 1027
4 0.9958 0.9712 0.9834 973
5 0.9821 0.9854 0.9838 891
6 0.9959 0.9939 0.9949 977
7 0.9750 0.9887 0.9818 1063
8 0.9567 0.9888 0.9725 984
9 0.9781 0.9771 0.9776 960

accuracy 0.9844 10000
macro avg 0.9845 0.9843 0.9843 10000
weighted avg 0.9845 0.9844 0.9844 10000

=============== Classification Report: Test ===============
precision recall f1-score support

0 0.9517 0.9848 0.9679 460
1 0.9723 0.9825 0.9774 571
2 0.9618 0.9491 0.9554 530
3 0.9298 0.9540 0.9418 500
4 0.9630 0.9360 0.9493 500
5 0.9538 0.9518 0.9528 456
6 0.9581 0.9416 0.9498 462
7 0.9384 0.9219 0.9300 512
8 0.9039 0.9427 0.9229 489
9 0.9324 0.9019 0.9169 520

accuracy 0.9466 5000
macro avg 0.9465 0.9466 0.9464 5000
weighted avg 0.9468 0.9466 0.9466 5000

效果还不错, 损失曲线也很经典, 大约从 15 轮开始收敛, 120 轮左右测试集损失就差不多到底了. 中途试过一些别的随机种子, 收敛速度有差异, 但是最终的损失值都差不多.

分类性能的话, 训练集的 F1 值和测试集差了 4% 左右, 看着也还不错, 正常表现.

进一步探索

到这里我们就已经彻底完成了基于纯 NumPy 手工搭建的卷积神经网络了, 从这个过程中我们可以了解到很多底层原理以及一些细节问题, 比如参数的初始化和训练超参数的调节. 大部分时间我们都是使用深度学习框架来完成这些事情, 我们只需要专注于搭积木即可. 这里联系一下我常用的 PyTorch 库, 里面内置了很多不同的模块, 分别对应整个网络搭建和训练过程中的基本环节.

  • torch.utils.data: 数据处理模块, 控制数据的读取和迭代方式.
  • torch.nn: 常用的网络模块, 例如 LinearConv2d.
  • torch.nn.functional: torch.nn 中模块的函数形式, 需要手动传入计算的参数.
  • torch.nn.init: 不同的网络参数初始化方法.
  • torch.optim: 优化器模块, 包含不同的学习率调整算法, 控制网络的优化过程.

这是一些常用的, 还有很多, 可以去看看 PyTorch 文档并加以实践.

后记

这份文档写了很久, 起因是觉得要是下次再碰到相关的问题, 自己有轮子和内容就不用上网找了属实是闲着没事. 前后花了一两周的时间, 因为要从头跑一份代码, 然后又是调公式又是画图, 不过算是彻底复习了一遍神经网络, 把很多深度学习框架的使用原理都串起来了, 还是挺好的.

这个系列就此圆满结束作业报告从此一劳永逸.